Engineering Evil

Intel Portal for Weighted Data and Information ( ARCHIVED – HISTORICAL)

  • Home
  • Home
  • Psionic / Psychic Warfare Archives
  • Historical Hacking Archive
  • Biologically Wired Differently Conservatives and Liberals

Home › Current Affairs › Benghazi › Requested Benghazi Pre-Attack and on site Documents

Requested Benghazi Pre-Attack and on site Documents

By Ralph Turchiano on March 4, 2015

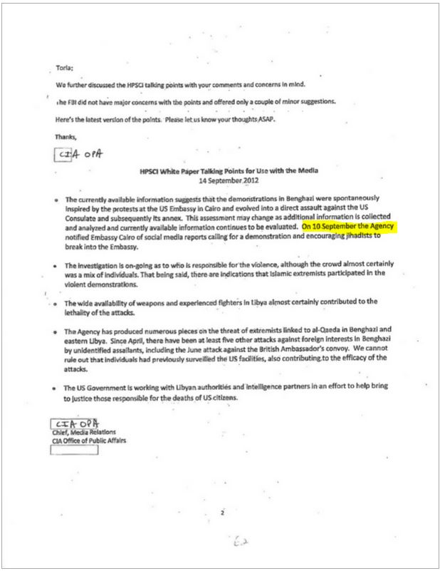
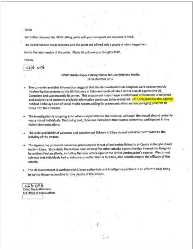
EEV: I am providing these documents from three  primary sources in request to Benghazi.. (Foreign Policy (Yellowed Documents Found on Site), Judicial Watch, Daily Mail )  Full Judicial PDF: Here

alive
benalive2 benalive3

 

ben5

 

ben6

Share this:

  • Share on Reddit (Opens in new window) Reddit
  • Email a link to a friend (Opens in new window) Email
  • Share on Facebook (Opens in new window) Facebook
  • Share on X (Opens in new window) X
  • Share on Tumblr (Opens in new window) Tumblr
  • Share on Pinterest (Opens in new window) Pinterest
  • Share on LinkedIn (Opens in new window) LinkedIn
  • Print (Opens in new window) Print
Like Loading...

‹ For those wanting to know what HDR22 means in HDR22@ClintonEmail.com
You forgot to Wash the WayBack Machine ›

Categories: Benghazi

Related Articles
  • Clinton’s Benghazi Phone Records -PDF via Judicial Watch
  • Hillary Clinton’s E-mail From Sid “France’s client & Qaddafi’s gold” – Unclassified (FOIA)
  • Clinton emails contained ‘need-to-know’ classified info
  • Benghazi – The full time line of events as they unfolded in the media from 12 SEP 2012 through 28 MAR 2015

Now Archiving and Organizing Historical Data

  • Biologically Wired Differently Conservatives and Liberals
  • Historical Hacking Archive
  • Psionic / Psychic Warfare Archives

Search Articles

Translator

Enter your email address to follow this blog and receive notifications of new posts by email.

Join 1,878 other subscribers

Top Trending Articles (Last 48 hours)

  • EU favors Spanish Fishermen over Italian Fishermen
  • He was sullen, arrogant, and no one wanted to sail with him: Crew member says captain played by Tom Hanks in new blockbuster Somali pirate film was no hero
  • Oxidative stress: Mechanism of cell death clarified: " this cell death could be completely prevented by Vitamin E, but not by water-soluble antioxidants"
  • Are we getting more stupid? Researchers claim our intelligence is diminishing as we no longer need it to survive
  • François Hollande rocked as minister confesses to lying over tax evasion

Recent Posts: CLINICALNEWS.ORG

The “Sugar-Blind” Herb: How Gymnema Sylvestre Hacks Your Brain to Hate Sweets Ep. 1289 APR 2026

The Neanderthal Pharmacy: How Ancient “Super Glue” Saved Lives from Infection Ep. 1288 APR 2026

The Kimchi Secret: How One Probiotic Flushes Plastic Out of Your System” EP. 1287 APR 2026

Why This Citrus Compound is Gout’s New Kryptonite 🍊 Ep 1286 MAR 2026

Why Top Performers are Swapping Energy Drinks for Sparkling Water 🫧 EP. 1285 MAR 2026

Cannot load blog information at this time.

Engineering Evil Tweets

Tweets by RalphTurchiano

EngineeringEvil

EngineeringEvil

Traffic Velocity

  • 1,131,852 hits

EngineeringEvil

EngineeringEvil
Blog at WordPress.com.
Privacy & Cookies: This site uses cookies. By continuing to use this website, you agree to their use.
To find out more, including how to control cookies, see here: Cookie Policy
  • Reblog
  • Subscribe Subscribed
    • Engineering Evil
    • Join 1,538 other subscribers
    • Already have a WordPress.com account? Log in now.
    • Engineering Evil
    • Subscribe Subscribed
    • Sign up
    • Log in
    • Copy shortlink
    • Report this content
    • View post in Reader
    • Manage subscriptions
    • Collapse this bar
 

Loading Comments...
 

    %d