Tuesday, 19 July 2016 Turkey has revoked the licenses of 21,000 teachers working in private institutions, an Education Ministry official told Reuters. It’s the latest in a string of crackdowns on workers allegedly tied to the exiled cleric blamed… Read More ›
Societal
Did you Know you could hurt your self with that Free Will. Here let me take that from you..
U.S. probes "unique" Zika case apparently not linked to travel, sex
Source: Xinhua | 2016-07-19 03:37:56 | Editor: huaxia WASHINGTON, July 18 (Xinhua) — U.S. health authorities confirmed on Monday a new case of Zika in Utah and have launched an investigation to determine how the person became infected. The new… Read More ›
Erdogan’s Folly: Billions for a Palace 30 Times Bigger Than the White House
“Built illegally on a Turkish national heritage site which preserves the memory of the founder of the Turkish Republic.” Requested repost from April 2016 14:37 08.04.2016 Turkey’s government has put yet another $230 million for construction of more buildings next… Read More ›
Turkey threatens WAR with America over cleric blamed for masterminding failed coup
TURKEY today set itself on a war path with America as tyrant Recep Erdogan attempts to reassert his iron grip on the country following a failed military coup. By NICK GUTTERIDGE PUBLISHED: 11:52, Sat, Jul 16, 2016 | UPDATED:… Read More ›
Turkish soldiers claim they they believed they were involved in military drill, not coup
Ynetnews|Published: 17.07.16 , 07:47 Soldiers arrested by Turkish authorities who were suspected of taking part in Friday’s attempted coup have claimed during their investigation that they believed they were participating in a military drill and that they were unaware… Read More ›
Turkish Officials Block Access to Air Base that Houses US Tactical Nukes
02:25 17.07.2016(updated 03:20 17.07.2016) Turkish officials are preventing access to and from the air base until they complete “anti-coup” operations effectively leaving America’s nuclear arsenal in the hands of the same Erdogan regime that just accused Washington of masterminding… Read More ›
Five Saudi officials, including two intelligence officers, may of helped the 9/11 hijackers–Just Declassified
Declassified 9/11 Report Details Claims of Saudi Ties By ADAM KLASFELD MANHATTAN (CN) — Five Saudi officials, including two intelligence officers, were among those believed by FBI and CIA sources to have helped the 9/11 hijackers, a… Read More ›
More evidence that male and female brains are wired differently
Public Release: 13-Jul-2016 University of California – Los Angeles FINDINGS While measuring brain activity with magnetic resonance imaging during blood pressure trials, UCLA researchers found that men and women had opposite responses in the right front of the insular… Read More ›
New Russian Secret Service Agents go Wild celebrating Graduation – then get punished
Editors Note: (Ralph Turchiano): WOW !?1? This is just one of many of the videos of the graduating class of Russia’s FSB security service. The only thing better then this would be a class year book to distribute among the… Read More ›
International law dishonored by illegal award on South China Sea arbitration: Chinese diplomat
Source: Xinhua | 2016-07-13 01:07:17 | Editor: huaxia by Xinhua Writers Gan Chuan, Shuai Rong THE HAGUE, July 12 (Xinhua) — The ruling on the South China Sea arbitration issued by a court in The Hague is a disgrace to… Read More ›
A major escalation: Chinese leaders reject S. China Sea arbitration award
Chinese leaders reject S. China Sea arbitration awardSource: Xinhua | 2016-07-12 20:40:57 | Editor: huaxia BEIJING, July 12, 2016 (Xinhua) — Chinese President Xi Jinping (2nd R, front) meets with European Council President Donald Tusk (3rd L, front) and European… Read More ›
123 police injured in Berlin riot
BBC 11th July, 2016 Police in Berlin say 123 officers were injured in clashes with leftist protesters over the redevelopment of a district in the east of the city. About 3,500 protesters marched through Friedrichshain on Saturday. Some were… Read More ›
Runaway Russian intelligence agent dies in the U.S.
Editors note: (Ralph Turchiano) The views presented here are purely from the Russian perspective July 7, 2016 ARTUR GROMOV, GAZETA.RU Russian media reports that former Russian Intelligence Service Colonel Alexander Poteyev has died in the U.S. For 10 years he… Read More ›
U.S. missile brought down Russian helicopter in Syria: report
BY ALASTAIR WANKLYN STAFF WRITER JUL 10, 2016 Two Russian airmen killed in Syria on Friday were shot down with American weaponry, the Interfax news agency said Sunday, quoting a Russian military source. It said insurgents from the Islamic… Read More ›
Chemical trail on Titan may be key to prebiotic conditions
Public Release: 6-Jul-2016 Cornell University Caption An image of Titan’s surface, as taken by the European Space Agency’s Huygens probe as it plunged through the moon’s thick, orange-brown atmosphere on Jan. 14, 2005. Today, Cornell scientists have chemical evidence… Read More ›
Open aggression against U.S. diplomats in Russia is escalating
U.S. Expels Two Russians In Connection With Diplomat Altercation In Moscow The video, broadcast by Gazprom subsidiary NTV, shows a uniformed man spring from a guard station and tackle the diplomat after the latter exits a taxi and heads… Read More ›
BRITAIN’S top spy agency was fooled into believing Iraq had chemical weapons by a lying agent who faked intel by copying scenes from a Hollywood film
Chilcot report: Spy duped MI6 with Iraq WMD intel based on Nicholas Cage film The Rock BRITAIN’S top spy agency was fooled into believing Iraq had chemical weapons by a lying agent who faked intel by copying scenes from a… Read More ›
Could goats become man’s best friend?
Public Release: 5-Jul-2016 Queen Mary University of London Goats have the capacity to communicate with people like other domesticated animals, such as dogs and horses, according to scientists from Queen Mary University of London (QMUL). In a new paper… Read More ›
Make no mistake, revenge is (bitter)sweet, study confirms
Public Release: 29-Jun-2016 Why Osama bin Laden’s death had us celebrating…and feeling worse Washington University in St. Louis Deep, dark and sometimes overwhelming, the human compulsion to seek revenge is a complex emotion that science has found incredibly hard… Read More ›
Researcher finds ‘ghost workers’ common in migrant farm work
Public Release: 28-Jun-2016 University of Colorado Denver New research by Sarah Horton, an anthropologist at the University of Colorado Denver, reveals that employers in agricultural industries often take advantage of migrants’ inability to work legally by making their employment… Read More ›
Russian warship makes ‘AGGRESSIVE’ approach with weapons drawn to US navy cruiser
TROUBLE has flared again in the Mediterranean as a notorious Russian frigate confronted an American warship as it shadowed an aircraft carrier. By Henry Holloway / Published 1st July 2016 The Russian warship the Yaroslav Mudrry – which was… Read More ›
FBI failed to tell hundreds of Americans that they were on an ISIS kill list after discovering 15,000 U.S. citizens were potential targets
Names of targets found by security officials on encrypted terror websites 15,000 people were and potentially remain as targets for ISIS extremists But probe has discovered hundreds of those listed never knew about threat In Texas, just two of… Read More ›
Supreme Court rules Bribery of Politicians is acceptable in some situations
Disgraced Governor Walks as SCOTUS Loosens Bribery Law “Today’s ruling makes it even more difficult to protect our democracy from attempts by officeholders to peddle political access and influence to the highest bidder,” Malloy said in a statement. “This… Read More ›
Supreme Court green lights gift bonanza by ruling public officials can take free stuff as long as they don’t do an ‘official act’ in return in reversal of Virginia governor Robert McDonnell case
McDonnell ad been convicted in ‘tawdry’ case of accepting lavish gifts in exchange for official favor ‘Ferraris, Rolexes, and ball gowns’ $175,000 in gifts alleged to have been given in exchange for boosting a vitamin supplement company Court sent… Read More ›
What are military UN trucks doing in Virginia? Bemused motorists spot white ‘combat vehicles’ on the interstate
U.N. ‘tactical vehicles’ have been spotted in Virginia driving on interstate Motorists have been positing pictures online sparking debate about them One website asks if the U.N. is preparing for economic collapse in America By CHARLIE MOORE FOR MAILONLINE… Read More ›
Convenient death: UN official set to testify against Clinton found dead
Sunday, 26 June 2016 The death of UN official John Ashe is likely to raise some eyebrows, but the US MSM has done its usual superb job downplaying or not reporting anything tied to the Clinton clan.Ashe — who… Read More ›
Have hopes of time travel gone pear shaped? Researchers say discovery of fruit-shaped nuclei could make it impossible
Researchers confirmed the pear-shaped nuclei of isotope Barium-144 The pear shape goes against the accepted symmetry-based model Scientists say it may relate to the symmetry violation seen with antimatter And, they say shape points in direction that relates to… Read More ›
Hillary’s secret server aide invokes Fifth Amendment ONE HUNDRED AND TWENTY FIVE times as he is questioned – and won’t even discuss his resume
He gave court-ordered testimony on Wednesday in the case, brought by conservative non-profit Judicial Watch The transcript isn’t out yet but the group’s president says Pagliano asserted his Constitutional right not to incriminate himself 125 times Lawsuit seeks to… Read More ›
Gamble on your opponent’s gaze if you want to win
Public Release: 21-Jun-2016 Study shows that eye movements reflect the numerical value of blackjack hands Springer Blackjack players who hold high-value cards tend to glance fleetingly to the right, whereas those with a lower-value hand do so spontaneously to… Read More ›
Third to half of UK population lives with chronic pain
Public Release: 20-Jun-2016 Proportion likely to rise as population ages; major cause of disability and distress BMJ Between a third and half (43%) of the UK population–roughly 28 million adults–lives with chronic pain, finds an analysis of the available… Read More ›
Russian warplanes clash with American fighter jets after bombing raid on US backed forces
AMERICAN fighters scrambled to intercept a pair of Russian bombers launching airstrikes against US sanctioned rebels in Syria. By Henry Holloway / Published 20th June 2016 The Kremlin backed bombing raid saw two Su-34 bombers – one of Moscow’s most… Read More ›
Indonesia navy fires on Chinese fishing boats
Publish Date: Sun, 19 Jun 2016 22:25:53 GMT Service: Iran China says Indonesia navy fired on its fishing boats China’s Foreign Ministry said Sunday an Indonesian naval vessel fired on Chinese fishing boats and injured at least one person…. Read More ›
Americans’ confidence in newspapers slides to a new low of 20%: poll
Americans’ confidence in newspapers slides to new low: poll Source: Xinhua 2016-06-20 01:27:22 WASHINGTON, June 19 (Xinhua) — Only 20 percent of Americans have high confidence in U.S. newspapers, hitting a all-time low since 1973, a latest Gallup poll found…. Read More ›
Russia Bombs US-Backed Rebels in Syria
VOA News Last updated on: June 17, 2016 5:13 PM Secretary of Defense Ash Carter has slammed Russia for bombing U.S.-backed opposition forces in southern Syria, calling the actions “problematic.” Speaking to reporters Friday at the Pentagon, Carter said… Read More ›
2018 Security Outlook Potential Risks and Threats – Nations planning for conflict
Clean PDF Here Occasional Papers 2016-06-03 This report is based on the views expressed during, and short papers contributed by speakers as part of, a series of presentations organised by the Canadian Security Intelligence Service under its academic outreach program…. Read More ›
Russia is preparing for WAR and could DEMOLISH Eastern Europe in 60 hours, report warns
RUSSIA “is mobilising for war” and could demolish the Baltic states “within 60 hours”, according to terrifying a new security report. By PATRICK CHRISTYS PUBLISHED: 05:32, Thu, Jun 16, 2016 | UPDATED: 05:42, Thu, Jun 16, 2016 Experts warn… Read More ›
Is Russia ‘mobilizing for war’ – shock warning
Society 16-06-2016 22:01 Vladimir Putin’s hardline regime is updating Russia’s military “on a large scale” in preparation for an apocalyptic showdown with NATO, Canada’s MI6 has warned. The Canadian Security Intelligence Service said the West’s economic embargo of Russia… Read More ›
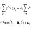
New equation reveals how other people’s fortunes affect our happiness
Public Release: 14-Jun-2016 A new equation shows how our happiness depends not only on what happens to us but also how this compares to other people University College London Caption This is the updated equation to predict happiness,… Read More ›
Helping co-workers can wear you out
Public Release: 14-Jun-2016 Michigan State University EAST LANSING, Mich. — Helping your coworkers too often can lead to mental and emotional exhaustion and hurt your job performance, a new study suggests. Reporting in the Journal of Applied Psychology, Michigan… Read More ›
Banks Accused of Funding ‘Christian Genocide’
By NICHOLAS IOVINO SAN FRANCISCO (CN) — A California nonprofit wants two Middle Eastern banks and a Kuwaiti sheikh to pay damages for claims they funded the Islamic State’s systematic murder and displacement of Christians in Iraq and… Read More ›
Saudi Arabia funded as much as 20 percent of Hillary Clintons Campaign ? Mystery over the published than deleted claim, most likely a hack
Editors Note ( Ralph Turchiano ) At this point it has a high probability of not being factual, yet not disproven. Saudi Arabia Key Funder of Hillary Clinton Campaign: Mohammed bin Salman The Saudi defense minister says Riyadh has funded… Read More ›
Saudis Extort UN: Threaten to Pull $500mn Over ‘Child Killer’ List
MIDDLE EAST 23:18 10.06.2016 Secretary General Ban ki-Moon went public with Saudi threats to divest from the United Nations and force other Arab states out of the international body if Saudi-led forces remained on the UN’s ‘child-killer’ list. On… Read More ›
Japan’s first ‘naked restaurant’ to ban overweight diners
JUN. 11, 2016 – 06:51AM JST Image from Amrita home page TOKYO — Japan’s first “naked restaurant” opens in Tokyo next month with draconian rules of entry—podgy prospective diners will be weighed and barred entry if found to be… Read More ›
Greek Scientists Call Antikythera Mechanism ‘World’s First Computer’
“What we do with computers today, it was done with the Antikythera Mechanism about 2000 years ago,” By Philip Chrysopoulos – Jun 10, 2016 The overall analysis of the inscriptions found inside the Antikythera Mechanism was presented on Thursday… Read More ›
Russia Proposes Mechanism To Avoid Conflict With U.S. Military
Thursday, June 09, 2016 Russia’s Defense Ministry says it has presented a proposal to the United States to develop a mechanism for preventing confrontations on the open sea and airspace above it. The Russian ministry said that during consultations… Read More ›
Chivalry is not dead when it comes to morality
Public Release: 8-Jun-2016 We’re more likely to protect women than we are men New York University We’re more likely to sacrifice a man than a woman when it comes to both saving the lives of others and in pursuing… Read More ›
Chinese fighter carries out ‘unsafe’ interception of American spy plane flying over the hotly contested South China Sea
Defense officials say RC-135 was intercepted by Chinese J-10 aircraft Chinese plane was ‘flying at high speed’ and at same altitude as RC-135 America carries out regular patrol missions over the South China Sea Chinese officials claim it is… Read More ›
‘Monster of Worcester’ who killed three children then impaled bodies on railings ‘being secretly prepared for prison release’
14:43, 6 JUN 2016 UPDATED 15:32, 6 JUN 2016 BY STEVE ROBSON , LAURA ELVIN David McGreavy, now 65, murdered Paul, Dawn and Samantha Ralph in 1973 in one of the most shocking crimes in British criminal history David… Read More ›
Psychopathy need not be a disadvantage
Public Release: 3-Jun-2016 Fearless and stress-resistant — yet still inconspicuous at work: How it works is shown in a study at the University of Bonn University of Bonn Persons with high psychopathy values are egotistic, scheming, and sabotage their… Read More ›
Philippine president-elect urges public to kill drug dealers
JUN. 05, 2016 – 03:45PM JST MANILA, Philippines — The Philippine president-elect has encouraged the public to help him in his war against crime and urged citizens with guns to shoot and kill drug dealers who would resist arrest… Read More ›